Télécharger Tableau Primitive Usuelle Fond d'écran

By default, the tableau has widgets for some yandex services.

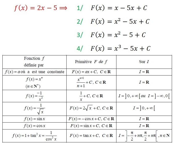
Télécharger Tableau Primitive Usuelle Fond d'écran. Tout y est, vous n'avez qu'à l'utiliser en rappel, et découvrir notre forum et nos exercices pour progresser sur mathforu. Donc il faut lire le tableau pour trouver les primitives de droite à gauche

Les-Mathematiques.net - Cours de mathématiques supérieures
Les-Mathematiques.net - Cours de mathématiques supérieures from www.les-mathematiques.net
Sa mémorisation est indispensable sans oublier celui des primitives des fonctions de base ( usuelles). Tableau des primitives des fonctions usuelles. It enables you to create insightful and impactful visualizations in an.

Ce qui est affirmé sans preuve peut être nié sans preuve.

When you open a new tab or click in the smartbox , you see the tableau — a panel with widgets of your most frequently visited websites. Primitives des fonctions usuelles dans chaque ligne, f est une primitive de f sur l'intervalle i. Donc il faut lire le tableau pour trouver les primitives de droite à gauche Tableau récapitulatif des principales primitives des fonctions usuelles pour le calcul intégral.